在图中PQRS是个正方形, 边长为4, 点T和U在变QR和RS上。∠UPT=45°, 求三角形RUT的可能的最大周长。
解法1:初中解法,如图
将三角形PSU逆时针旋转90度, 这样PS落在了PQ上, S落到了V,
PV=PU, PT=PT
而∠VPT=∠VPQ+∠TPQ=∠UPS+∠TPQ=90°-∠UPT=45°
即∠UPT=∠VPT
因此三角形PUT全等于三角形PVT,
所以UT=VT
因此三角形UTR的周长为:
=UR+RT+(TQ+VQ)
=(UR+VQ)+(RT+TQ)
因为VQ=US , RT+TQ=RQ=4, UR+US=SR=4
所以:
UR+RT+UT
=UR+RT+VT
=UR+RT+(TQ+VQ)
=(UR+US)+(RT+TQ)
=SR+RQ
=4+4
=8
所以三角形RUT的周长是个定值,其可能的最大值就是8.
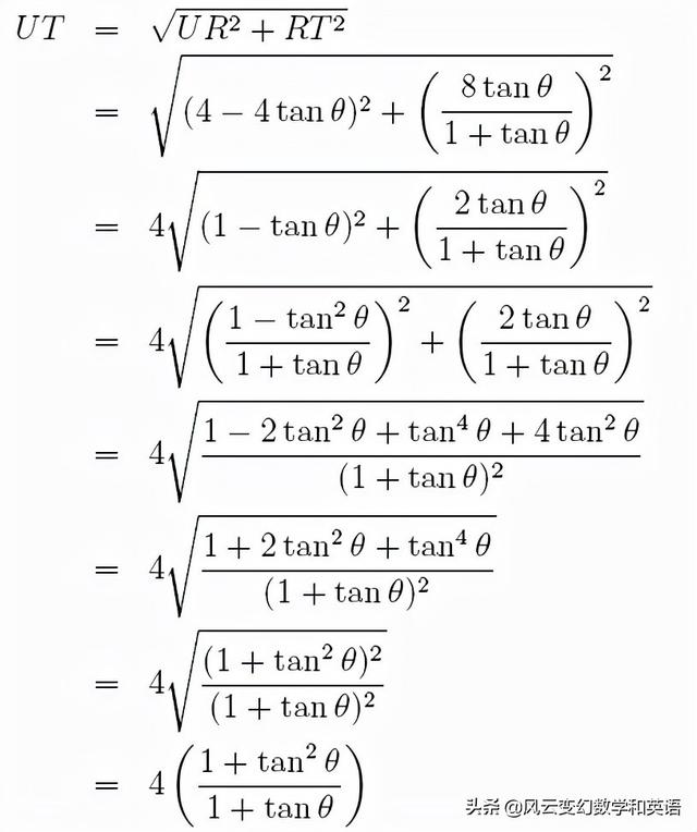
解法2: 用高中的三角知识,
设∠SPU=θ,那么可以得知,QPT=90°-45°-θ=45°-θ
应为PS=PQ=4, 所以
SU=4tanθ
QT=4tan(45°-θ)
因此UR=4-4tanθ
TR=4-4tan(45°-θ)
在三角变换中:
所以:
根据勾股定理, 在直角三角形UTR中,斜边的长度为:
因此:
说明所求周长为定值8.
创业项目群,学习操作 18个小项目,添加 微信:923199819 备注:小项目!
本文内容由互联网用户自发贡献,该文观点仅代表作者本人。本站仅提供信息存储空间服务,不拥有所有权,不承担相关法律责任。如发现本站有涉嫌抄袭侵权/违法违规的内容, 请发送邮件至 zoodoho@qq.com举报,一经查实,本站将立刻删除。
如若转载,请注明出处:https://www.zodoho.com/21001.html
如若转载,请注明出处:https://www.zodoho.com/21001.html
