第11章垄断
完全竞争的另外一个极端就是垄断,既只有一个卖者或者卖者的市场。垄断中有买方垄断和卖方垄断,经济学中只分析卖方垄断。然后只假设买方是价格接受者,毫无市场力量。
11.1形成垄断的因素
技术性壁垒:如果除了垄断者别无他人掌握某种生产技术,那么这个市场价就会形成垄断。比如最著名的就是可口可乐,他们的配方是最长寿的商业机密,半个多世纪了,依然没有其他厂商能做出他和一样味道的可乐。
法律性壁垒:有些独家经营的特权是由法律所规定的并受到法律保护的,专利和版权是法律特许的垄断。为了鼓励发明创造,保护发明家和投资家的利益,几乎所有的国家都有特性的专利法。
策略性壁垒:在没有技术性壁垒和无法律性壁垒的情况下,厂商也可以提高壁垒,或者巩固自己的垄断地位。比如可口可乐公司每年花亿万美元在广告上,这些广告只渲染自己的产品形象,不谈价格,也不谈口味。这就是人为的提高进入软饮料市场的成本。
11.2垄断企业的行为和效率
因为垄断企业可以通过压缩产量来抬高价格,从而增加利润,所以这就导致了效率损失。
垄断企业把产量从Qe减少到Qm,这是价格从Pc上涨到了Pm,图中阴影部分就是效率损失的部分。从竞争价格到垄断价格,消费者剩余减少了区域PcPmFH。而矩形PcPmFG代表的剩余转移为生产者剩余,GFH这块面积谁也没有得到。同理生产者这块的CEH面积谁也没有得到。
11.2.1垄断价格和需求的价格弹性
因为单一厂商所面临的价格弹性是无限大的,消费者是没有别的地方可以买同样的产品,所以他不像完全竞争市场,当你价格提高时,那么消费者没有可买的替代品,他们就会选择不买,那么需求量就会下降。
这里的公式就不推断了,结论就是需求随着价格的上升而降低,产量减少,总成本也跟随着降低,利润增加。并且如果需求弹性趋于无穷大,价格等于边际成本。
11.2.2税收对垄断效率的影响
既然垄断企业提高价格,那么政府能够通过向垄断企业收税,将垄断者的从消费者那里掠取的剩余转还给消费者呢?如果对垄断厂收一笔总税额,那就是提高了垄断者的固定成本,对边际成本是无影响的,所以垄断厂的产量和价格不会总税额改变。他并不能改进垄断企业的效率。
单元税实际上提高了厂家的边际成本,因为导致产量下降,价格上升。垄断产商的生产量已经过低,这会进一步加剧效率的顺势。
经过分析(具体可看书),要想改善垄断市场的效率,应该补贴垄断企业!单位补贴降低了边际成本,因为可以提高垄断企业的产量。这个结论是不是很震惊!补贴改进了垄断的效率,可是补贴加剧了收入分配的不平等。理想的措施是,给垄断企业单元补贴,鼓励生产。同时又对垄断企业征收一笔总额税,取回所有的补贴,并以其他的方式分配给消费者。但是这是不现实的,因为监督和管理很困难,首先政府要防止企业虚报产量,其次收回来的税怎么分配给消费者也是个难题,因为要跟踪大量的顾客,验收他们购买的产品,这无疑也增加了很多成本。
11.3价格歧视
同一产品以不同的价格出手称为价格歧视。常见的价格歧视有工商用户和居民用户的水、电价格不同。戏院开场前的票价和开场后的票价不同。首映电影和重影电影票价不同、老年人优惠等都是价格歧视。但是同一型号的电视在上海和深圳的售价不同,却不是价格歧视,因为电视可能在上海生产,要考虑到运到深圳的运费等。
价格歧视行之有效需要具备三个条件。首先,厂商得有一定的市场力量,在完全竞争市场,同一产品想要卖高价是办不到的。其次,产品的转售必须十分困难,不然就会有倒卖,中间有利可图。而水电等服务技术是不可能倒卖的。最后一个条件是消费者偏好必须不完全相同,而且厂商必须能在一定程度上区分不同偏好的消费者,这样他们才能索取不同的价格。
11.3.1不同程度的价格歧视
价格歧视分为三级、一级和二级价格歧视。
三级价格歧视,在这种情况下,不同的消费者可能付不同的价格,但同一消费者所购买的不同单元的价格是一样的。就是同一产品在不同的市场上价格不同,但是在同一市场价格只有一个。这是常见的价格歧视,比如学术期刊,老年人优惠等。
一级价格歧视,一级价格歧视是完全的价格歧视,在这种情况下,每一单元的产品以消费者愿意支付的最高价出售。在完全歧视的条件下,消费者剩余价值全部贵生产者所有,但实际上,这种是无法实现的。一级歧视要求垄断者掌握每一单元产品最消费者的最高边际价值,这种信息要求是实现不了的。
二级价格歧视,如果不同的单元产品以不同的价格出手,而购买同一数量人的不同消费者都付同一价格,那就是二级价格歧视。最普遍的二级价格歧视就是数量优惠,买的越多,价格越低。二级价格歧视所获得的利润比单一价格的垄断利润更高。
11.4垄断的延伸和网络经济的竞争
11.4.1垄断的延伸
我们都知道商业巨头微软(Microsoft),20世纪90年代末美国政府就对微软提出了反垄断起诉。微软的windows系统基本垄断着PC操作系统市场,同时它还生产应用软件,比如word、excel和游戏等。就是他同时经营这产品的上游和产品的下游,我们称这样的企业叫兼营企业。这种兼营企业通过上下游的产品捆绑出售,对下游的竞争打击更大。
11.4.2网络经济的竞争
网络经济有两个特征,一个是规模经济,即生产量越大,平均成本越低。另一个是外部效应,即网络越大,网络对每个用户的价值越大。
第12章寡头和垄断竞争
在现实情况中,垄断市场模型是比较少见的,而常见的是市场上有多个企业经营,互相竞争,每个企业有一定的市场影响力,但他们又不是完全竞争。而他们之间又互相牵制和约束,这样的市场结构叫做寡头。
垄断竞争有两个特点:一是企业进出自由,所以是有竞争的;二是各企业的产品不是完全替代品,因此每一家企业面临的需求曲线是向下倾斜的。
12.1卡特尔
若干个企业为垄断市场而结盟,这样的组织叫做卡特尔。卡特尔在有些国家是合法的,有些国家是非法的。美国就有反托拉斯立法。
卡特尔的好处是协同经营可以增加利润,减少竞争摩擦而带来的不确定因素,并可以组织潜在的竞争者进入市场。几个企业垄断,也可以提高垄断利润。
那么这时你肯定会想,如果有些企业偷偷背离契约,超过产量限额,获取更多利润呢?那么如果有人背离,那么哪些忠于合同的就会吃亏,那这样其他人也都会一起背离合同,这样卡特尔就失去了作用。所以卡特尔是不稳定的。
12.2寡头市场模型
因为在寡头市场中,一个企业的决策除了收到自身的因素,还会收到其他企业的决策影响。所以之前的单人最优策略对分析寡头市场就没用了。
12.2.1古诺模型
这一模型的基本结构是各企业生产同一产品,并都已产量为决策变量。这里的假设为当某企业选择产量时,假定其他的企业产量不会因为这家企业的决策而变化。
为了简化分析,常提出一个双企业的寡头模型,假设需求为P=a-bQ,甲乙两企业的成本为常数c1和c2。那么甲企业的利润为:
其中q1和q2分别为甲、乙企业的产量。
甲的剩余需求为(a-bq2)-bq1,它的边际收益为(a-bq2)-2bq1。所以a-bq2-2bq1=c1.
那么
所以企业乙多生产,企业甲就少生产,这个关系为企业甲对企业乙的反应函数。
在上图中R1(q2)就是企业甲的反应函数。那么在E点就是固诺均衡,其产量分别为(q1*,q2*)。固诺均衡是一个静态的,竞争双方一旦进入这状态,就不在改变行为和改变决策倾向。并且没有告诉我们竞争双方是如何进入这一状态的。固诺均衡有一个缺陷就是企业以产量为决策变量,但是经验告诉我们,商业上常用价格作为决策变量。
12.2.2贝特朗模型
贝特朗模型的假设是:当某企业制定价格时,认为其他企业价格不会因其决策而改变。
还是考虑双头市场,甲乙两家商店分别卖货,两家的产品完全相同,那么哪家价格低,顾客就会去低的那家,价格高的一个顾客也得不到,所以两家就会打价格战,降低自己的价格,当什么时候停止呢?就是两家的价格降到自己的边际成本的时候,如果两家的边际成本相等,那么就称为贝特朗均衡。所以这又会回到完全竞争市场,但是实际情况是不可能的,因为企业的生产能力有限,就算是低价的厂家也不可能完全供应整个市场的需求。还有个就是完全相同的产品,消费者只比较价格,不考虑其他因素,这个往往也很难做到。
12.2.3史塔克尔贝格模型
史塔克尔贝格模型反应了在市场里,一个主导企业,一个或者多个跟随企业。主导企业知道跟随企业一定会对它的产量做出反应,因而把它在确定产量时,把跟随企业的反应也会考虑进去。
史塔克尔贝格主导企业比古诺企业的产量高,跟随企业的产量低于古诺企业的产量,在这个模型中,决策时贯序的,主导企业先走一部,因而有捷足先登的优势。
12.3变异产品的竞争
因为相同的产品会导致价格战,所以企业之间为了避免竞争,往往都会给自己的产品增加一些特色,这样的产品叫做变异产品。
12.3.1代表消费者的模型
变异产品就是替代品,对某一产品的需求量会因替代品价格的上涨而增加。如果商品1,2是变异产品,那么D1(P1,P2)=a-bp1+dp2,其中b>d>0。b大于d表示产品本身的价格的变化对需求量的影响大于其替代品的价格变化而对其需求量的影响。这种模型叫做代替消费者模型。如果d前面的加号改为减号,我们就得到了互补品的需求函数。
变异产品的均衡价格为:
12.3.2霍特林模型
因为在大多数情况下,不同的人对不同的变异产品的偏好肯定是不同的,就好比有钱人喜欢高档产品,而中档产品只不过是比低档产品好一点的替代品而已。美国经济学家霍特林首先用不同的地点来象征不同的特性,描绘了不同的产品对不同消费者的吸引力。
12.4垄断竞争
垄断竞争是企业间既相互竞争又有一定的垄断力量,这里有三个假设,一是企业进出自由,另一个是每个企业面临的剩余需求是向下倾斜且不平坦的。由于产品各异,当某企业价格提高时,它面临的需求会降低,但不会完全消失;它的价格降低时,需求会增加,但不会变成无穷大。
垄断竞争的长期均衡与垄断不同,因为市场可以自由进出,越来越多的企业进入市场,结果就是每个企业面临的剩余需求越来越小。
12.5市场结构和利润率
要建立市场竞争程度和企业和行业的利润率的关系,要解决两个问题。一是怎么来度量市场的竞争程度,另一方面是说市场结构与企业和行业的利润率的因果关系。
经济学家构造了一些指数来度量某一行业或市场的集中程度。它表示某行业或市场N个最大企业的市场份额的和。最常用的4企业密集度率为=CR4=S1+S2+S3+S4,如果CR4大于90%,称该市场为实际垄断的;如果CR4小于40%,称为实际竞争的;如果CR4在40%-90%之间,称为寡头市场。
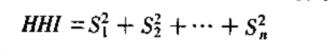
还有一种反应集中程度的指数叫赫芬达尔-荷希门指数(HHI),它是市场上所有企业的市场份额的平方和,
HHI值越大,表示市场集中度越高,垄断市场的HHI为1,HHI为0表示完全竞争。把HHI超过0.18的成为高度集中,低于0.1的成为非集中。
最后说了,西方的经济学家在过去的半个世纪中对企业结构和行业绩效做了大量研究,也并没有找出企业结构和利润之间的关系,虽然企业密集度和利润率可能是正相关的,但是没有两者的因果关系。
创业项目群,学习操作 18个小项目,添加 微信:923199819 备注:小项目!
如若转载,请注明出处:https://www.zodoho.com/38434.html
