【摘要】深中通道伶仃洋大桥东索塔塔柱采用门形结构,高270m,截面尺寸由最大的13m×16m逐渐变化至7.55m×12m,采用C55海工高性能混凝土。
混凝土强度等级高,泵送扬程高、对混凝土耐久性要求高,混凝土出现温度应力裂纹的风险高。采用掺入多种矿物掺和料配制的一种低水化热高强混凝土,能降低20%左右的水化热,提高了早龄期和最终的抗氯离子渗透性能,具有优异的和易性和可泵性,经高扬程泵送后,混凝土的和易性不劣化,经振捣密实后,混凝土表面几乎无浮浆,使混凝土的均匀性和整体性得以提高。
【关键词】多掺;低水化热;高强度;高耐久性
1 工程概况
深中通道项目是连接广东省深圳市和中山市的超大型跨海集群工程。项目全长24km,采用双向八车道的高速公路标准,设计时速100km/h,从深圳往中山侧依次为岛隧工程及桥梁工程,其中伶仃洋大桥作为桥梁工程中关键控制性工程跨越伶仃航道,采用580m+1666m+580m的三跨全漂浮体系悬索桥结构形式。
伶仃洋大桥塔柱采用门形结构,高270m,其中混凝土段塔高262.5m,塔冠高7.5m,整个塔肢共设置上、中、下3道横梁,塔柱采用空心八边形截面,截面尺寸由最大的13m×16m逐渐变化至7.55m×12m。大桥除塔冠采用钢结构外,索塔横梁为预应力混凝土构件,塔柱为普通钢筋混凝土结构,均采用C55海工高性能混凝土。
2 混凝土技术要求
伶仃洋大桥所处环境为“高温”“高湿”“高盐”及“多风”的三高一多环境,结构的断面尺寸大,单次浇筑混凝土方量大,混凝土设计强度等级高,且泵送高度高,最高垂直高度达270m。这就要求混凝土具有高强度、高耐久性、低水化热、良好的黏聚性、优异的泵送性能且经高扬程泵送后,混凝土应具有良好的施工性能。结合标准规范、设计文件及施工方案,对混凝土技术指标作如下要求,如表1所示。
根据上表的技术要求来看,索塔混凝土应具有较高的早期强度和抗塑性收缩裂纹的能力,有低的绝热温升,温峰后,有较低的降温速率,并有较高的最终强度和抗氯离子渗透性能。在新拌混凝土方面,应具有优异的和易性和可泵性,经泵送后,具有良好流动性和可施工性。
3 配合比设计思路
基于以上设计要求和工程实际情况,对配合比的设计应遵循以下思路:
1)在满足混凝土黏聚性和可泵性及早期强度要求的情况下,尽量减小水泥用量,考虑大掺量矿物掺合料,实现混凝土的高性能化。
2)大体积混凝土结构在温峰过后的降温阶段,混凝土的降温速率越大,应变亦越大,随着自身弹性模量的不断增大,混凝土表面受的拉应力也就越大,当所受拉应力超过此时混凝土的抗拉强度,即出现温度应力裂纹,要使混凝土的降温速率越小,混凝土在温峰后至降至环境温度这一段时间,混凝土中的水泥和掺和料要有持续水化的能力,可考虑掺加不同活性的多种矿物掺和料来满足在不同龄期下能和水泥水化产物氢氧化钙发生二次水化反应。
3)在满足筑塔机爬升要求的情况下,延长混凝土的缓凝时间以推迟并削弱温峰,考虑外掺缓凝剂,使混凝土在室内初凝时间为25~30h,施工现场为15~20h。
4)为了提高新拌混凝土的黏聚性和可泵性,可考虑添加硅灰等颗粒圆度好、密度小、活性高的超细矿物掺和料来降低新拌混凝土的黏度、提高密实度。
5)为了保证新拌混凝土经高扬程泵送后的流动性和可施工性,既要提高混凝土的稳定性即各组分的分散性,从能量的角度来说,处于低能态时是最稳定的,故可考虑加入比表面能较低的矿物掺和料,或使新拌混凝土分散效果好的高性能化学外加剂来提高新拌混凝土的分散性,增加稳定性。
根据以上设计思路,用不同胶凝材料体系来设计配合比,微调配合比中各个组分的用量,使之满足新拌混凝土的以上所述的坍落扩展度和倒坍时间的技术要求,验证抗压强度、氯离子扩散系数、抗裂性和绝热温升,最后综合比对分析以上技术性能和经济性,选定最优配合比。
4 配合比比选
用经典的海工高性能混凝土胶凝材料体系水泥+矿粉+粉煤灰,多掺混凝土胶凝材料体系水泥+矿粉+粉煤灰+石灰石粉+硅灰体系及水泥+矿粉+石灰石粉体系,分别设计配合比C-1,C-2和C-3。配合比单方材料用量及新拌混凝土性能如表2,图1,2所示。
图1 C55索塔混凝土配合比强度曲线
图2 C55索塔混凝土配合比氯离子扩散系数曲线
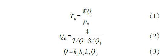
混凝土绝热温升计算,无试验数据时,混凝土绝热温升可按下列公式计算:
式中:
Ta为混凝土最终绝热温升(℃);
W为每立方米混凝土胶凝材料用量(kg/m3);
Q为胶凝材料水化热总量(kJ/kg);
ρ为混凝土质量密度(kg/m3),可取2400kg/m3;
c为混凝土比热容(kJ/(kg·℃)),可取1.0kJ/(kg·℃);
Q0为水泥水化总量(kJ/kg),Q3,Q7龄期分别为3d和7d时的累积水泥水化热(kJ/kg);
k1为粉煤灰掺量对应的水化热调整系数;
k2为粒化高炉矿渣粉掺量对应的水化热调整系数;当混凝土中掺有石灰石粉和硅粉时,k3为石灰石粉和硅粉掺量对应的水化热调整系数;当掺有石灰石粉未掺硅粉时,k3为石灰石粉掺量对应的水化热调整系数;
据水泥水化热试验报告Q3取值为260kJ/kg,Q7取值为298kJ/kg,
根据公式,计算Q0=334.7kJ/kg;k1,k2,k3在配合比C-1,C-2,C-3中的取值及配合比的计算最终绝热温升值Ta,如表3所示。
根据以上试验结果分析,多种掺和料C-2配合比,新拌混凝土的黏度较低,泵送性能好,和易性好。
从强度曲线上可以看出,C-2配合比强度增长率随龄期的增加变化较平缓,3d前由于水泥用量低,强度增长较慢,但在3d龄期后,随着混凝土孔溶液的碱度不断升高,激发了粒径小活性高的硅粉颗粒和氢氧化钙的二次水化反应,使混凝土的强度和密实度不断提高,二次水化反应发生在3d龄期后,不但不会增加混凝土的温峰,还对控制混凝土的降温速率有利?
C-2配合比7d的氯离子扩散系数能达到设计56d的要求,这说明在较早龄期时,混凝土的密实度就已经很高了,这也证明了二次水化反应在早龄期就发生了,56d的氯离子扩散系数值极低,这说明了在掺加了多种掺和料的情况下,二次水化反应在后期的各个龄期下不断发生,使混凝土结构最终的力学性能和耐久性能均得以大幅度提升?
由于较低的水泥用量,使得混凝土的温峰值低,这对高强度大体积混凝土的控裂是十分有利的;C-2经过24小时的早期平板抗裂试验后,混凝土表面无裂纹,有良好的抗塑性收缩裂纹的能力。故用C-2配合比施工东索塔混凝土结构优势非常明显?
5 结语
伶仃洋大桥东索塔于2019年12月5日浇筑右幅第1节塔柱开始至2021年11月26日浇筑上横梁结束,历时近2年,用混凝土多掺技术C-2配合比浇筑C55海工混凝土49636m3?
单次最大浇筑方量为2020年8月21日8时48分开始浇筑,8月23日15时16分浇筑结束的下横梁第2层,共浇筑混凝土2568m3。采用加冰屑辅助降温的方式,使混凝土入模温度控制在28℃以内,混凝土最高温升峰值为71.2℃,最大里表温差为23.8℃?
混凝土的低水泥用量和高的多种掺和料掺量,使混凝土经高扬程泵送后,流动性几乎不损失,均匀性良好。塔柱及横梁无温度应力裂纹和干燥收缩裂纹?取样的555组28d抗压强度试件,平均值70.9MPa,最大组值81.2MPa,最小组值63.7MPa,变异系数8.6%,9组天抗氯离子扩散系数试件,平均值1.2×10-12㎡/s,最大组值1.6×10-12㎡/s,最小组值0.5×10-12㎡/s?东索塔混凝土有优良的力学性能和耐久性能?
本文转自《混凝土多掺技术在伶仃洋大桥东索塔中的应用研究》作者曾序;仅用于学习分享,如涉及侵权,请联系删除!
创业项目群,学习操作 18个小项目,添加 微信:923199819 备注:小项目!
如若转载,请注明出处:https://www.zodoho.com/107507.html
