职场就是一场博弈,人生也是如此!
有计划有节奏有目标的前进,会让在同频次下成长的更快!这几个日常中可以应用的法则(定律),值得我们借鉴!
72小时理论
任何你想做的事情,如果没有在72小时之内开始去做,那么这件事极有可能会被搁浅。
人就是这么奇妙,明知道自己应该去做,却宁愿相信自己以后会去做。人要完成一件事,最好是在72小时内完成他,所以最关键的一步就是先开始行动起来。
想想我们人生中,是不是有很多这样的瞬间,有很多事情一直想做但从来没付出实际行动,所有的想法最后不了了之。
当你头脑里某一瞬间突然有个想法的时候,尽可能随手记下来,72小时足以让你消化这一想法,即可以打败拖延,也可以抑制冲动。
72小时你还觉得可以做的事情,就一定要行动起来,过了72小时觉得是一时冲动,及时制止也避免了激进带来的风险。
做一件事,你所需要做的就是立马行动,即使为之付出百分之一也是一种开始,任何事往往开始时最难,一旦开始了坚持下去,慢慢就会容易很多。
21天法则
好习惯的养成不是一蹴而就的,据研究大脑神经元构筑一条新的神经通道所需的时间为21天。
人的行为习惯经过强化暗示,21天以上的重复会形成习惯,90天以上的重复会形成稳定的习惯。
所以贵在坚持!
习惯的形成大致分成三个阶段:
第一个阶段1~7天左右,这一阶段需要你刻意地提醒自己,会感觉很不自然,不舒服。
第二个阶段7~21天左右,这一阶段会觉得比较自然了,但是还需要不断刻意的强化提醒自己。
第三阶段21~85天左右,这一阶段你已经不需要刻意提醒,很自然的接受这一行为,这一阶段也被称为“习惯性的稳定期”。
不论在生活、工作、感情中,认真花费一些时间,梳理自己的思路,利用21天去养成好习惯,改掉坏习惯,让生活节奏能合理的掌控在自己的手中。
28定律
二八定律又名最省力的法则、不平衡原则,主要80/20分析法检验两组类似数据之间的关系,并用来改变它们所描述的关系。
一个是20%的因素决定了80%的结果:这就需要我们知道决定一件事最本质的核心是什么,才能在获取最高价值的同时最大程度减少资源损耗。
另一个是80%的投入只产出20%的成效:这就告诉我们一个道理,在任何东西中最重要的只占约20%,其余80%尽管是大多数但却是次要的。
这要求在不平衡的社会下,首先着手处理那些20%的重要事情,明确轻重缓急,而非事无巨细的完美主义者。
不必看事情的大小程度,而要看事情的重要性,判断一件事对你来说是否是重要的,这才是最重要的。
成长中非常重要的一个思维——复利思维,这一概念主要应用在金融领域,但也是我们每个人不得不具备的能力。
大家都知道巴菲特曾是世界首富,但很少有人知道巴菲特一生中99%的财富,都是他50岁之后获得的。
那也就是说在他50岁之前,或许就跟我们平常人一样,50之后才进入财富爆炸期。关于财富积累,巴菲特2006年在《致股东信》中这样写道:
“从1900年1 月1 日到1999年12 月31日,道琼斯指数从65.73 点涨到了11497.12 点,足足增长了176倍,是不是非常可观?
那它的年复合增长是多少?答案是并不让人钦佩,才仅仅只是5.3%。”
这个增长率意味着一万块钱每年才新增530块钱,这绝大多数人都可以实现,但是只有巴菲十年如一日的坚持着,这就是时间的复利。
指数成长复利法则
快速提升自己财富能力最重要的是什么呢?
一是扩大眼界和格局,这是思维层面,站得高,看得远,有方向。二是懂得复利法则,这是行动层面,每天进步一点,长久坚持成长惊人。
那在金融领域里面的复利具体指的是什么呢?
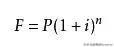
复利就是指一笔资金除本金产生利息外,在下一个计息周期内,以前各计息周期内产生的利息也计算利息的计息方法,俗称利滚利 。
随着时间的推移,本息会爆发式的增长,复利的公式(其中:P=本金;i=利率;n=持有期限)
复利遵循指数函数,大家可以看看下面的曲线,感受一下威力。
影响复利收益的因素中,时间(持有期限)是很重要的一个。可以看到,随着时间的推移收益增长的越来越快。
所以不论在任何行业任何工作岗位都通用:任何的积累都运用了简单的复利思维,简单的事情重复做,重复的事情认真做,如此而已。
作者:椰紫
创业项目群,学习操作 18个小项目,添加 微信:923199819 备注:小项目!
如若转载,请注明出处:https://www.zodoho.com/9012.html
