简介
在电力电子设备的EMI建模与分析中,要想获得精确的结果,噪声源和传播路径上的阻抗测量至关重要。对辐射 EMI来说,其对应频带常在 30MHz 和 1GHz 之间。在如此的高频之下,测量电压、电流和阻抗等参数也变得十分困难。
我们将通过一系列文章讨论如何利用反激式变换器来测量高频共模 (CM) 电流、电压和阻抗。
上篇将介绍辐射 EMI 模型以及反激式变换器拓扑中的高频共模电流测量;中篇将讨论共模电流的测量误差,并探讨如何测量反激式变换器中的共模阻抗;最后,下篇将讨论开关噪声源效应以及等效电压源的测量,并对所提出的测量方法进行验证。
辐射 EMI 的基本原理
变换器工作时,电路中的dV/dt 节点和 dl/dt 环路会产生高频,这会在输入和输出线之间产生高频共模电压 (VA)。而输入、输出线就相当于一对双极天线(Dipole Antenna)。 这个高频的共模电压会在输入、输出线上激励出高频的共模电流IA,并以电磁场的形式向外辐射能量。
根据戴维南定理,变换器的辐射模型可以简化成一个电压源及其串联的阻抗(见图 1)。
图1: 变换器的辐射EMI模型
要构建出精确的辐射模型并预测辐射 EMI,设计人员需要了解模型的关键参数,包括噪声源(VS)、激励电压(VA)、激励电流(IA)、源阻抗(RS)以及天线阻抗(XS)。
通过天线阻抗来分析辐射 EMI
图 2 显示了一个天线的能量模型,它由三部分组成:第一部分能量在两极之间转换,并不向外辐射,这部分无功功率阻抗可以用jXA表示;第二部分为发射能量RR;最后一部分是代表电缆功耗的电阻(RL)。
图 2:天线阻抗的等效模型
将天线阻抗考虑进去之后,就可以得到完整的辐射EMI 模型。通过将电磁场模型转换为电路模型,我们就能对 EMI进行有效分析。
辐射 EMI测量
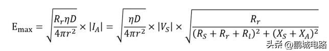
要测量辐射 EMI,需要确定变换器在一定距离之外产生的电磁场强度,即确定变换器在距离r 之外的电场。其最大电场强度(EMAX)可以通过公式 (1) 计算:
其中VS代表噪声源,η为波阻抗,D为方向性,表示该方向上的最大功率密度与半径为r的球面平均功率密度之比,可以通过测量或者仿真得到。
为预测最终的辐射结果,本系列文章将以反激式变换器为例得出精确的噪声电压、共模电流以及阻抗。
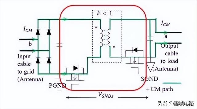
反激式变换器中的高频共模电流测量
图 3 所示为反激式变换器的拓扑结构及其共模电流路径。
图3: 反激式变换器电路
在共模路径上,原边包含了共模滤波器、整流桥和电解电容等。共模电流通过变压器流向副边和输出线上。由于整流桥的结电容在高频下阻抗很小,基本可以认为是短路;输入及输出的电解电容的阻抗也很小,高频的时候也可以认为短路。因此,输入线和输出线可以认为是电路中的两个节点(图中的b点与a点),并得到如图3右图所示的等效模型。
图 4 所示为辐射模型。在该模型中,VCM表示等效噪声电压源,我们将在下篇中进一步详细讨论。ZCMTRANS表示变压器的共模阻抗,而ZCMCONV表示环路上其他组件(如 PCB走线和滤波器)的共模阻抗。共模电流(ICM)可以通过测量输入和输出线上方向相同的电流得到。
图 4:反激式变换器的辐射模型
图 5 显示了测量共模电流的传统方法。它采用高频电流钳同时钳住输入的火线和零线。通过同轴线将电流钳与频谱分析仪连接,即可获得共模电流频谱。
图5: 共模电流的传统测试方法
但是,由于变换器与同轴线之间会产生耦合,所以传统方法并不精确。这种耦合包括了 dV/dt 节点与同轴线之间的电场耦合,以及 dl/dt 环路与同轴线(变换器与地之间)之间的磁场耦合。这部分额外的测量误差我们将在下一篇文章中展开讨论。
结论
本文回顾了辐射 EMI 的基本原理,探讨了辐射模型的关键参数(即天线阻抗),并介绍了一种计算辐射 EMI 的方法。最后还探讨了在反激式变换器拓扑中测量共模电流的传统方法。
创业项目群,学习操作 18个小项目,添加 微信:923199819 备注:小项目!
如若转载,请注明出处:https://www.zodoho.com/95737.html
